LeetCode Python/Java/C++/JS  >  Linked List  >  24. Swap Nodes in Pairs  >  Solved in Java, Python, C++, JavaScript, C#, Go, Ruby  >  GitHub or Repost

LeetCode link: 24. Swap Nodes in Pairs, difficulty: Medium.

Given a linked list, swap every two adjacent nodes and return its head. You must solve the problem without modifying the values in the list's nodes (i.e., only nodes themselves may be changed.)

Example 1:

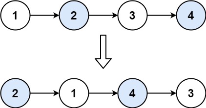
Input: head = [1,2,3,4]

Output: [2,1,4,3]

Example 2:

Input: head = []

Output: []

Example 3:

Input: head = [1]

Output: [1]

Example 4:

Input: head = [1,2,3]

Output: [2,1,3]

Constraints:

  • The number of nodes in the list is in the range [0, 100].
  • 0 <= Node.val <= 100

Intuition

Before solving this problem, it is recommended to solve the simple problem 206. Reverse Linked List first.

  1. To solve this problem, you still need to define at least two variables: current and previous.
  2. The loop condition should be while (current.next != null) instead of while (current != null), because the operations that need to be performed include current.next.next.

Step-by-Step Solution

  1. Traverse all nodes.

    var previous = null;
    var current = head;
    
    while (current != null) {
        current = current.next;
    }
    
  2. Because every two nodes swap positions, it is necessary to change it to taking two steps at a time.

    var previous = null;
    var current = head;
    
    while (current != null && current.next != null) { // 1
        var nextNext = current.next.next; // 2
        current = nextNext; // 3
    }
    
  3. Swap the positions of current and current.next.

    var previous = null;
    var current = head;
    
    while (current != null && current.next != null) {
        var nextNext = current.next.next;
    
        current.next.next = current; // 1
        current.next = nextNext; // 2
    
        current = nextNext;
    }
    
  4. Process previous.

    var previous = null;
    var current = head;
    
    while (current != null && current.next != null) {
        var nextNext = current.next.next;
    
        previous.next = current.next; // 1
        current.next.next = current;
        current.next = nextNext;
    
        previous = current; // 2
        current = nextNext;
    }
    
  5. Determine the return value. Because the head node will be swapped to the second node when the number of nodes exceeds 1, it is best to add a dummy_head node for unified and convenient processing.

    var dummyHead = new ListNode(); // 1
    dummyHead.next = head; // 2
    
    var previous = dummyHead; // 3
    var current = head;
    
    while (current != null && current.next != null) {
        var nextNext = current.next.next;
    
        previous.next = current.next;
        current.next.next = current;
        current.next = nextNext;
    
        previous = current;
        current = nextNext;
    }
    
    return dummyHead.next; // 4
    

Complexity

Time complexity

O(N)

Space complexity

O(1)

Java #

/**
 * public class ListNode {
 *     int val;
 *     ListNode next;
 *     ListNode() {}
 *     ListNode(int val) { this.val = val; }
 *     ListNode(int val, ListNode next) { this.val = val; this.next = next; }
 * }
 */

class Solution {
    public ListNode swapPairs(ListNode head) {
        var dummyHead = new ListNode(0, head);
        var previous = dummyHead;
        var current = head;

        while (current != null && current.next != null) {
            var nextNext = current.next.next;

            previous.next = current.next;
            current.next.next = current;
            current.next = nextNext;

            previous = current;
            current = nextNext;
        }

        return dummyHead.next;
    }
}

Python #

# class ListNode:
#     def __init__(self, val=0, next=None):
#         self.val = val
#         self.next = next

class Solution:
    def swapPairs(self, head: Optional[ListNode]) -> Optional[ListNode]:
        dummy_head = ListNode(next=head)
        previous = dummy_head
        current = head

        while current and current.next:
            next_next = current.next.next

            previous.next = current.next
            current.next.next = current
            current.next = next_next

            previous = current
            current = next_next

        return dummy_head.next

C++ #

/**
 * struct ListNode {
 *     int val;
 *     ListNode *next;
 *     ListNode() : val(0), next(nullptr) {}
 *     ListNode(int x) : val(x), next(nullptr) {}
 *     ListNode(int x, ListNode *next) : val(x), next(next) {}
 * };
 */
class Solution {
public:
    ListNode* swapPairs(ListNode* head) {
        auto dummy_head = new ListNode(0, head);
        auto previous = dummy_head;
        auto current = head;

        while (current != nullptr && current->next != nullptr) {
            auto next_next = current->next->next;

            previous->next = current->next;
            current->next->next = current;
            current->next = next_next;

            previous = current;
            current = next_next;
        }

        auto result = dummy_head->next;
        delete dummy_head;
        return result;
    }
};

JavaScript #

/**
 * function ListNode(val, next) {
 *     this.val = (val===undefined ? 0 : val)
 *     this.next = (next===undefined ? null : next)
 * }
 */
var swapPairs = function (head) {
  const dummyHead = new ListNode(0, head)

  let previous = dummyHead
  let current = head

  while (current != null && current.next != null) {
    const nextNext = current.next.next

    previous.next = current.next
    current.next.next = current
    current.next = nextNext

    previous = current
    current = nextNext
  }

  return dummyHead.next
};

C# #

/**
 * public class ListNode {
 *     public int val;
 *     public ListNode next;
 *     public ListNode(int val=0, ListNode next=null) {
 *         this.val = val;
 *         this.next = next;
 *     }
 * }
 */
public class Solution
{
    public ListNode SwapPairs(ListNode head)
    {
        var dummyHead = new ListNode(0, head);
        var previous = dummyHead;
        var current = head;

        while (current != null && current.next != null)
        {
            var nextNext = current.next.next;

            previous.next = current.next;
            current.next.next = current;
            current.next = nextNext;

            previous = current;
            current = nextNext;
        }

        return dummyHead.next;
    }
}

Go #

/**
 * type ListNode struct {
 *     Val int
 *     Next *ListNode
 * }
 */
func swapPairs(head *ListNode) *ListNode {
    dummyHead := &ListNode{0, head}

    previous := dummyHead
    current := head

    for current != nil && current.Next != nil {
        nextNext := current.Next.Next

        previous.Next = current.Next
        current.Next.Next = current
        current.Next = nextNext

        previous = current
        current = nextNext
    }

    return dummyHead.Next
}

Ruby #

# class ListNode
#     attr_accessor :val, :next
# 
#     def initialize(val = 0, _next = nil)
#         @val = val
#         @next = _next
#     end
# end

def swap_pairs(head)
  dummy_head = ListNode.new
  dummy_head.next = head

  previous = dummy_head
  current = head

  while current && current.next
    next_next = current.next.next

    previous.next = current.next
    current.next.next = current
    current.next = next_next

    previous = current
    current = next_next
  end

  dummy_head.next
end

Other languages

Welcome to contribute code to LeetCode.blog GitHub -> 24. Swap Nodes in Pairs. Thanks!